Soil Active Carbon - POXC
This week we have a guest author post from Fabricio Cano, Pablo Cremades and Nano Castro. They are members of reGOSH in Argentina where they have been developing open hardware tools and methods for measuring soil active carbon.

Soil Active Carbon - POXC
Fabricio Cano, Pablo Cremades and Nano Castro, reGOSH
Why is it important to measure active carbon POXC in soils?
Permanganate oxidizable carbon (POXC) also referred as active carbon, is the labile organic carbon fraction in soil and is considered to have a primary role in many soil functions related to productivity and environmental resilience. It is the organic carbon pool that is directly available for microbial activity and, hence, in considered the primary energy source for microorganisms. POXC is a good short term indicator of changes in soil quality so it is useful to evaluate management decision regarding soil related agricultural practices (Bongiorno et al., 2019).
POXC measurement protocol
We used the Culman protocol to determine active carbon in soil samples. It is an adaptation of the original method proposed by Weil (Weil et al., 2003).


Potassium permanganate (KMnO4) Stock Solution
Different dilutions were obtained from a 0.2M KMnO4 solution in order to build a calibration curve. To prepare the dilutions for a four points calibration curve you can use the volumes of the following table:
| Concentration | 0.02M KMnO4 | Distilled Water |
|---|---|---|
| 0.005 M | 2.5 mL | 7.5 mL |
| 0.010 M | 5.0 mL | 5.0 mL |
| 0.015 M | 7.5 mL | 2.5 mL |
| 0.020 M | -- | -- |
Open source colorimeters

To measure the absorbance of the calibration curve dilutions and the soil samples we used the IO Rodeo colorimeter and two self built colorimeters based on the previous old version of IO Rodeo. The measurement protocol suggest a 550nm light source, however we did not have LEDs emitting in that wavelength. We used the 520nm led for the IO Rodeo colorimeter and the green light of an RGB LED for the other two colorimeters. To know the emission spectrum and peak emission of those green LEDs we tested them on a commercial UV1800 Shimadzu UV-VIS spectrophotometer. You can find more details of the LED emission test here.

| Colorimeter | LED Wavelength |
|---|---|
| IO Rodeo | 520 nm |
| FCA | 527 nm |
| FCEN | 519 nm |
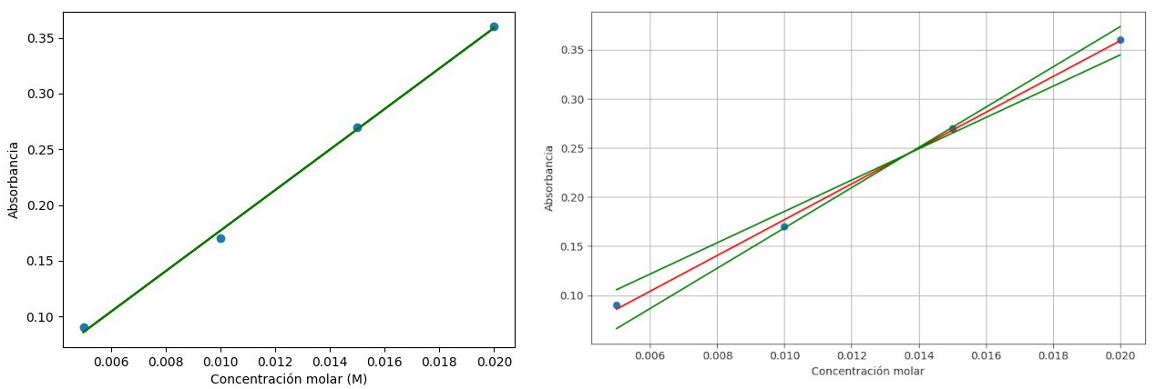
Calibration curves
We measured the absorbance of the calibration dilutions with the three colorimeters.
| Concentration | FCA | IO Rodeo | FCEN |
|---|---|---|---|
| 0.005 M | 0.098 |
0.09 | 0.117 |
| 0.010 M | 0.18 | 0.17 | 0.205 |
| 0.015 M | 0.272 | 0.27 |
0.308 |
| 0.020 M | 0.363 | 0.36 |
0.411 |
With these results we built a linear regression and calculated the error of the regression parameters with a Python script for each colorimeter.
| Colorimeter | Slope | Intercept | R2 |
|---|---|---|---|
| IO Rodeo | 18 ± 2 | -0.01 ± 0.03 | 0.99 |
| FCA | 18 ± 1 | 0.01 ± 0.02 | 0.99 |
| FCEN | 20 ± 2 | 0.01 ± 0.03 | 0.99 |

Active carbon in soil
We measured the absorbance from four 2.5g air dried soil samples after its reaction with KMnO4. The amount of oxidized carbon is a function of the amount of KMnO4. This means that for greater amounts of POXC the less the color intensity and absorbance. Samples were taken from two different farms in the Valle de Uco region.
| Soil Samples | FCA | IO Rodeo | FCEN |
|---|---|---|---|
| M1 | 1222 | 1132 | 1301 |
| M2 | 954 | 873 | 1024 |
| MC1 | 877 | 836 | 954 |
| MC2 | 954 | 873 | 1024 |
For the POXC calculations we used the equation proposed by Weil. Results are given in mg of carbon for kg of soil
\[ \mathrm{POXC} (\mathrm{mg}/\mathrm{kg \, soil}) = [0.02 \, \mathrm{mol}/\mathrm{L} - (a + b \times \mathrm{Abs})] \times (9000 \, \mathrm{mg} \, \mathrm{C}/\mathrm{mol}) \times (0.02 \mathrm{L} / \mathrm{Wt}) \]
Where:
0.02 mol/L = initial concentration of the KMnO4 solution
a = intercept of the calibration curve
b = slope of the calibration curve
Abs = measured absorbance
9000 = [mgC/mol] of oxidized carbon for every mol of MnO4 that reacts from Mn+7 to Mn+4
0.02 L = stock solution volume used
Wt = [mg] weight of dry soil
Results

A 10-15% error was estimated for POXC in soil samples. You can check the details of this estimation here. To have a better understanding of what these values mean you can check scoring table from the Soil Health Evaluation Manual (Vanek et al., 2018).
References
- Bongiorno, G., Bünemann, E.K., Oguejiofor, C., Meier, J., Gort, J., Mäder, P., Brussaard, L. & Goede, R. (2019). Sensitivity of labile carbon fractions to tillage and organic matter management and their potential as comprehensive soil quality indicators across pedoclimatic conditions in Europe. Ecological Indicators. Bongiorno 2019
- Culman, S. W., Hurisso, T. T., & Wade, J. (2021). Permanganate Oxidizable Carbon: An Indicator of Biologically Active Soil Carbon. Soil Health Series: Volume 2 Laboratory Methods for Soil Health Analysis, 152-175
- Vanek, S., Fonte, S., Magonziwa, B. (2018). Soil Health Evaluation Manual. https://smallholdersha.files.wordpress.com/2018/07/soiltoolkitmanual_sv6-2.pdf
- Weil, R. R., Islam, K. R., Stine, M. A., Gruver, J. B., & Samson-Liebig, S. E. (2003). Estimating active carbon for soil quality assessment: A simplified method for laboratory and field use. American Journal of Alternative Agriculture, 18(1), 3-17
Get in touch
Below are some links to connect with the authors to learn more about this project and their open hardware work.
- Email: ferhcastro@gmail.com
- Follow Nano on social media: @nanoayllu
- Nano on GitLab: @nanocastro
- Pablo on GitLab: @pcremades
- Fabricio on GitLab: @fabricano
You can also learn more about the work of Open Agroecology Lab and ReGOSH at the links below:


Read next
Sales of OpenFlexure Microscope Kits to support new Humanitarian Technology Trust charity
Open Colorimeter Plus firmware and hardware updates

Comments ()